• 您好
  • 免费注册
  • 新突破|酒类鉴别再添新方法

    发布日期:2022-10-12 10:56 阅读量:1079

    酒类产品种类繁多,再加上不同的品牌、工艺,产地、年份等条件,品系十分复杂。酒类精确地鉴别仍是困扰酿酒业界和食品监管的难题之一。


    虽然人们已在酒类鉴别引入了现代的仪器分析手段,如GC-MS、HPLC等,但这些方法都有其局限性,如灵敏度低、耗时长、峰容量不足等,在酒类鉴别中主要起到辅助作用,基于人类器官的感官鉴定仍是酒类鉴别的主要方法。


    01

    一方面,因为仪器分析方法都是基于特征组分的检测,不能全面反映酒类的特征;

    02

    另一方面,基于特征组分的方法,需经过大量的标志物筛查工作方可建立,且难以改变,不能应对变化的酒类真伪和品质鉴别需求。


    进一步来说,基于标志化合物的方法,在食品监管上,易被不法分子利用,比如可以针对标志化合物进行组分添加,影响酒类鉴别的准确性。


    本研究借助上海交大先进的全二维气相色谱技术平台,开发一种可靠的非标志物依赖的酒类鉴别方法,将先进的全二维气相色谱技术与机器学习相结合,实现了对复杂食品的高精度鉴别。使用该方法对36种白酒产地、262种白酒品牌进行了地理来源和香型鉴别,均显示非常高的准确性,分别达91.86%和97.67%。该方法对于依赖非标记物鉴别具有可靠性、可用性、通用性。


    全二维气相色谱-飞行时间质谱(GC×GC/TOFMS)灵敏度高、可重复性好、分辨率高、峰容量大,已经在食品化学研究领域取得了成功的应用。近年来,该技术在红酒化学成分检测上得到应用,对于酒类特征组分表征来说是一种潜在的高效方法。该研究用顶空固相微萃取(HS-SPME)结合GC×GC/TOFMS,分别对262种白酒样品进行检测,获得262种白酒m/z 20-200的高分辨率原始数据库。这是对样品标志物非依赖型的全面检测。

    △GC×GC/TOFMS-HS-SPME和LLE原始数据的3D可视化图


    △采用GC×GC/TOF-MS法对262种中国白酒进行了质谱分析


    机器学习是人工智能领域的一个分支,正在图像识别、自然语言处理等领域发挥越来越大的作用。它不关注样本的具体特征,从全局上把握样本特征的综合贡献。


    近年来,在酒类检测中应用机器学习方面,有一些初步的尝试,如假酒的识别、清香型白酒的等级判别等。但这些方法都只针对特殊的应用场景,与通用型的酒类识别鉴定相去甚远。这些研究中所应用的检测手段提供的样本特征信息的维度也较低,用于酒体识别的潜力不大。


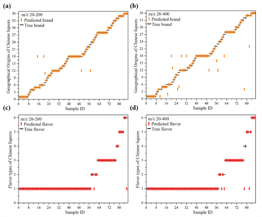
    本研究将机器学习(SVM)和GC×GC/TOFMS整合,开发了一种新型的通用酒类识别技术。基于该技术对白酒进行了全面表征,建立了相应机器学习模型,对36种中国白酒产地和6种中国白酒香型进行了样本识别测试,预测准确率分别达91.86%和97.67%。


    机器学习(SVM)对36种中国白酒产地(a)(b)和6种中国白酒香型(c)(d)的预测结果


    上述研究成果获得国家固态酿造工程技术研究中心和上海交通大学分析测试中心的支持,有望在酒类精确鉴别和食品监管中得到进一步应用。泸州老窖作为浓香鼻祖和行业头部领军企业,始终践行“让中国白酒的质量看得见”质量管理观,先后组建了国家固态酿造工程技术研究中心、国家市场监管重点实验室(白酒监管技术)等专业化、规范化、创新型的高水平科研平台,从微生物学、分子生物学、信息科学、现代农业等多个高新技术领域对白酒生产的关键环节进行深入研究,以强大的科研实力为产品质量保驾护航。


    自2009年以来,泸州老窖就与上海交通大学展开了合作,2013年,泸州老窖与上海交大建立了较为深入和全面的合作,签订了框架合作协议,共建了“生命科学与健康”联合实验室,为双方未来长期合作奠定了坚实的工作基础。同时,固酿中心还聘请上海交大邓子新院士担任国家固态酿造工程技术研究中心工程技术委员会主任,林志新教授担任固酿中心工程技术委员会委员,指导固酿中心科技创新工作,提升了泸州老窖科研团队素质和水平。 


    其中,泸州老窖与上海交大陶飞教授和许平教授团队合作产出一系列高水平学术成果。2015年4月在《Nature》子刊《Scientific Reports》联合发表高质量学术论文“Chemical Analysis of the Chinese Liquor Luzhoulaojiao by Comprehensive Two-Dimensional Gas Chromatography/Time-of-Flight Mass  Spectrometry”;2018年,获得授权发明专利“酒类产品鉴别方法”;此次合作研究发表的论文“Marker-Independent Food Identification Enabled by Combing Machine Learning Algorithms with Comprehensive GC × GC/TOF-MS”,是泸州老窖与上海交大陶飞教授和许平教授团队合作产出的又一创新成果。 


    未来,泸州老窖将继续发挥企业创新主体优势,依托国家固态酿造工程技术研究中心、国家市场监管重点实验室(白酒监管技术)等科技创新平台,汇聚产学研创新资源,不断攻克行业关键共性技术,引领白酒行业技术进步、产业升级。